北京市朝阳区南磨房路37号华腾北搪商务大厦902、917室:010-51908276 / 010-51900901

单宁酸在工业、医药、食品领域的应用

2022/1/12分类:

单宁酸在工业、医药、食品领域的应用

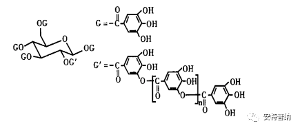
单宁酸(Tannic Acid)在药典上又称鞣酸,是一种有机物,化学式为C76H52O46,属于水解类单宁,水解可得到酸和葡萄糖,是最早研究的单宁之一。单宁酸是由五倍子中得到的一种鞣质。为黄色或淡棕色轻质无晶性粉末或鳞片;无臭,微有特殊气味,味极涩。溶于水及乙醇,易溶于甘油,几乎不溶于乙醚氯仿或苯。

单宁酸主要富含于中国五倍子、土耳其子、塔拉果荚、石榴、漆树叶、黄栌、金缕梅树等植物中。其中五倍子是中国的林特产品,主要分布于具有独特气候、土壤等条件的秦岭、巴山、武当山等区域。它是由五倍子蚜虫寄生在漆树科盐肤木属植物上形成的虫瘿。我国是五倍子的生产大国,占世界产量的75%~90%。

图片

单宁酸结构至今尚不清楚,一般认为是葡萄糖的五个羟基和没食子酰基结合而成的酯。五倍子经过浸提,浓缩后即可制成工业用单宁酸。再经精制后可制成药用或试剂单宁酸。

图片

单宁酸属于典型的葡萄糖酰基化合物,其多酚羟基的结构赋予了它一系列独特的化学特性和生理活性,如能与蛋白质、生物碱、多糖结合,使其物理化学行为发生变化;能与多种金属离子发生络合和静电作用;具有还原性和捕捉自由基的活性;具有两亲结构和诸多衍生化反应活性等。单宁酸具有独特的化学特性及特殊的生理和药理功能,因此在重工业、皮革工业、日用化学工业、医药工业、食品工业等方面获得了极为广泛的应用。由单宁酸水解得到的没食子酸在医药、食品、染料、半导体、航空航天等行业的应用更为广泛。

图片

单宁酸的应用

图片


在工业中的应用

单宁酸在矿石浮选工艺中可以用作含钙、镁矿物的有效抑制剂。单宁酸通过化学吸附、氢键力及双电层静电力等方式与矿物表面作用,在矿物表面与捕收剂发生强烈的竞争吸附,使捕收剂从矿物表面解析。单宁酸还是湿法提取锗工艺中最优良的沉淀剂,沉锗率能达到90%以上。

图片

根据单宁酸与许多金属离子螯合的性质,单宁酸可用于锅炉和热交换器的除垢剂。单宁酸与水中的Ca2+、Mg2+发生络合,从而降低水的硬度,起到锅炉内水软化的作用,其络合物可进一步形成粒度很大的泥垢沉积下来,随排污排出。此外,单宁酸还可以与金属管壁形成一层致密的薄膜使其钝化,起到了保护的作用,防止了管道和锅炉的腐蚀。水处理中,单宁还可用于净化含蛋白质和表面活性剂废水,使之生成絮凝物沉淀再除去,以降低COD,避免水中蛋白质类有机物发出恶臭。

单宁酸,没食子酸等可作为保护工业、建筑、水运工具和海港设备所用铁金属(铁、钢)的防锈、防腐剂。单宁酸分子中的邻位酚羟基可与铁锈中Fe3+反应,生成黑色稳定致密的螯合物——单宁酸铁,它牢固地覆盖在钢铁表面,从而阻止锈蚀的发展,而且单宁的吸氧能力也起着阻止钢铁表面的氧化作用,还可以抑制噬铁细菌的繁殖。

图片

70年代以前,塔拉单宁酸主要作为皮革鞣剂。用塔拉单宁酸鞣革,成革轻软,有弹性,颜色很好,与漆叶相当。用塔拉单宁酸鞣制的皮革制品,具有色浅,不褪色,质地坚硬,平滑等特点,而且利用塔拉单宁酸鞣革,仅从果实、果荚或叶中获得,不必砍伐树木,其资源可持续利用。

图片


在日化工业中的应用

单宁酸对链球菌有很强的抑制作用,0.25g/L的单宁酸可以达到100%的抑制率。单宁酸还可以抑制牙龈透明质酸酶和胶原酶的活性,在牙膏中加入单宁酸可防止牙龈病和牙周炎,具有抗龋齿的功能。单宁酸具有较强的紫外吸收特性,特别是在能量高、破坏力大的远紫外区。单宁酸对易引起皮肤衰老的美拉德反应有很强的抑制作用,所以单宁酸可用作为化妆品中防晒和抗衰老的有效成分。利用单宁酸收敛性所制备的化妆品对于皮肤无刺激性,并具有中等收敛剂的效果,同时也有很好的保湿性。单宁酸用在化妆品中还可以改善皮肤颜色,加强血液循环及促进毛发生长。

图片


在药物中的应用

单宁酸的药理活性是其与生物体的蛋白质、酶、多糖、核酸等相互作用以及单宁酸的抗氧化和与金属离子络和等性质的综合体现。传统药方中,含单宁酸为主的五子、儿茶鞣质为主的儿茶膏常因其收敛性作创伤、烧伤表面的止血剂,同时由于它们有一定的抑菌效果,可以保护伤部,防止伤口感染发炎等。单宁酸还可用作生物碱和一些重金属离子中毒时的解毒剂,因为它可与之螯合成沉淀,减少机体的吸收,而单宁酸与细胞外或组织外的钙离子的络合,可抵抗平滑肌钙诱导的收缩,降低血压。单宁酸和茶单宁对于化学诱变的皮肤、肺、前胃肿瘤有很好的抑制作用。


在食品工业中的应用

食用单宁酸可作饮料和酒类的澄清剂、稳定剂,还可与植物纤维结合形成固化单宁,作为酒类过滤吸附剂,大豆酱油的去铁脱色。单宁酸由于含有酚羟基而具有良好的捕集自由基功能,可用作食品抗氧化剂。食品级单宁酸是良好的葡萄酒防腐剂。

图片

作为一家精细化工产品的经销商,安特普纳公司向海内外客户提供优质单宁酸。